Timbro E Firma In Inglese
Se richiesto per l’estero la segreteria studenti apporrà timbro dell’Università e firma del funzionario responsabile 8 Blocco dell’emissione dei certificati Lo studente può ottenere il rilascio di certificazioni attestanti la propria carriera universitaria purché sia in regola con il versamento dei contributi, sovrattasse per.
Timbro e firma in inglese. La documentazione clinica deve essere in lingua italiana o inglese Eventuali traduzioni devono essere certificate, ossia essere riportate su carta intestata della società che effettua la traduzione, e corredate da timbro e firma del traduttore Il giorno della prenotazione verrà inviato tramite mail/sms un link per accedere alla Televisita. Nella crittografia asimmetrica un certificato digitale è un documento elettronico che attesta l'associazione univoca tra una chiave pubblica e l'identità di un soggetto (una persona, una società, un computer, etc) che dichiara di utilizzarla nell'ambito delle procedure di cifratura asimmetrica e/o autenticazione tramite firma digitale Il certificato digitale contiene informazioni sulla. Corso di Dattilografia online riconosciuto per personale ATA (1 PUNTO) ISTITUITO DA ENTE PUBBLICO Il conseguimento dell’Attestato di “Addestramento professionale per la dattilografia, istituito da ente pubblico per come previsto dal DM 640 17 e dalla FAQ 16.
Email legalizzazionepref_roma(at)internoit (NB indirizzo non abilitato alla ricezione di PEC Eventuali PEC inviate alla suddetta casella non riceveranno risposta e non verranno acquisite Si prega di inviare le PEC all'indirizzo sottostante Per eccezionali, imprevedibili e documentate ragioni di urgenza, è possibile chiedere un appuntamento all'indirizzo email legalizzazione. Per economia – dal greco οἶκος (oikos), "casa" inteso anche come "beni di famiglia", e νόμος (nomos) "norma" o "legge" – si intende sia l'organizzazione dell'utilizzo di risorse scarse (limitate o finite) quando attuata al fine di soddisfare al meglio bisogni individuali o collettivi, sia un sistema di interazioni che garantisce un tale tipo di organizzazione, sistema detto. Certificati e Autocertificazioni Informazioni sul rilascio di certificati, autocertificazioni, attestati e titoli di studio (pergamene) In base all'articolo 15 della legge 1/11, a decorrere dal 1 gennaio 12 le Pubbliche Amministrazioni e i Gestori di pubblici servizi non possono più richiedere né accettare dai privati certificati prodotti da altri uffici pubblici.
Il software Decoder2DPlus permette di acquisire in tempo reale l'immagine del timbro digitale e attestare la validità della firma elettronica Sarà sufficiente installare il programma sul proprio PC e inserire il certificato nello scanner il programma guiderà l'utente nella procedura di verifica. La scorsa estate Mark Rutte e Giuseppe Conte se le erano date di santa ragione, ai tempi della discussione sul Recovery Fund, per gestire quanto dare e a chi Il Premier italiano era capofila dei Paesi colpiti dalla crisi che chiedevano aiuto all’UE Mark Rutte, invece, era il capofila di quelli che, per varie ragioni non si fidavano degli italiani, ritratti come inaffidabili, e che. Corso n 21 Corso di alfabetizzazione in inglese per non tesserati (livello 0 Andrea La Manna iniziato il 15/12) Caratteristiche del corso Iscrizioni >>> Corso n 22 Corso di base per tesserati (1° livello Carlo Marzano iniziato il 14/12 ).
Potrai ottenere gli stessi certificati direttamente dall'area riservata, ma non avranno valore legale in quanto privi di timbro e firma Legalizzazione e traduzione certificati Per altri tipi di certificati in lingua inglese o altra lingua, ti ricordiamo che è sempre possibile richiedere un certificato in lingua italiana legalizzato, con le.
Http Webfacile Unidos It Montinicb Gov It Allegati Allegato 7172 Pdf
Regione Siciliana Assessorato Beni Culturali
Astronomia La Darsena Studio D Arte
Timbro E Firma In Inglese のギャラリー
Http Www Icteleseterme It Gara Per Corsi Di Lingua Inglese A S 1718 Aid 49 Sa 0
2
Traduzioni Asseverate Blog Traduzioni Bertelli Rovigo Traduzioni Bertelli
1 Set Vintage Botanico Piante Leaf Timbri Di Gomma Di Legno Per Fai Da Te Proiettile Ufficiale Scrapbooking Photo Album Decorazione Timbri Aliexpress
Http Webfacile Unidos It Montinicb Gov It Allegati Allegato 7172 Pdf
Nato A Tedesco Francese Inglese Il Tedesco Francese Inglese Pdf Free Download
Www Difesa It Sgd Dna Staff Dg Persomil Concorsi Suff Documents 12 Bandacc Allegati Dm 104 Bando Orchestrali Banda Cc Pdf
Certificazione Unica Con Traduzione In Inglese
Apostille Dell Aia Che Cos E Ti Traduco
2
2
2
Sovranita Individuale 7 Notifiche Varie Info Sos Utenti Informati
G Cheli Farmacia Inglese Bagni Di Lucca Ricevuta Per Lire 1 Bagni Di Lucca 13 Gennaio 1907 Ottimo Senza Rilegatura 1907 Historia Regnum Et Nobilia
Memorabilia 3 Venerato Maestro Oppure
Con La Sua Firma Inglese Traduzione Esempi Di Utilizzo Con La Sua Firma In Una Frase In Italiano
Http Www Aslcagliari It Documenti 8 342 Pdf
Allegati Bando Inglese
Differenze Traduzione Autenticata E Certificata Traduzioni Bertelli
La Polizza Di Carico Bill Of Lading Genoa Port Service
3 Concorso Nazionale Di Composizione Per Banda Angelo Inglese Citta Di Molfetta
2
Traduzioni In Inglese Tecniche E Commerciali A Roma Traduzioni Legali Roma
Apostilla E Traduzioni Legalizzate
Www Ipseoaducadibuonvicino Edu It Allegati Bando Gara Esperto Madrelingua Inglese Pdf
Egitto Fattura E Certificato Di Origine Legalizzazione Consolato Youtube
Astronomia La Darsena Studio D Arte
Istitutocomprensivorosate Edu It Wp Content Uploads Sites 198 Lettera Invito Selezione Personale Esterno Lettorato Inglese Pdf
Nato A Tedesco Francese Inglese Il Tedesco Francese Inglese Pdf Free Download
Timbri Decorativi Trodart
Http Www Szn It Images Bandi Concorsi Preinformazione Ufficio Stampa Indagine Di Mercato Pdf
Apostille Significato
Trascrizione Del Voto Dell Esame Di Inglese Sul Libretto Universitario Dipartimento Di Ingegneria
Http Www Comune Mogliano Veneto Tv It Doc Modello quietanza italiano inglese Pdf
Certificato Di Nascita Del Comune Di Roma In Inglese Multiforms Multilex
Studiare Inglese Da Una Vita E Non Parlarlo Hagar Lane
How To Be British Laboratorio Di Lingua E Cultura Inglese A Cura Di Beata Connell Sicilia Report
Traduzione Certificata Con Timbro E Firma Di Estratto Conto Traduzioni Legali Roma
Http Webfacile Unidos It Montinicb Gov It Allegati Allegato 7172 Pdf
Contratto Legale In Inglese Contratto Di Assistenza Legale Esempi Di Traduzione Di Documenti Per Un Visto Nel Regno Unito Esempio Di Documento Inglese Russo Su Una Pagina
Traduzioni Certificate Per Hcpc Traduzioni Bertelli
Http Www Prefettura It Files Allegatipag 1158 Procedura Legalizzazione Pdf
Guida Alla Compilazione Della Procura Pdf Free Download
Timbri Per Ufficio10 Cifre Timbro A Rullo Alfabeto Inglese Personalizzato Simbolo Simbolo Timbro Con Rotella Multifunzione Scrapbooking Fai Da Te Cartoleria Timbro Data Amazon It Cancelleria E Prodotti Per Ufficio
Traduzione Certificata Il Blog Di Oltrelingua
2
Timbro Con Scritta In Lingua Inglese Certified A True Copy Of The Original Document Amazon It Cancelleria E Prodotti Per Ufficio
Inglese Design Per Anthony Denny S Clocksalt Penna E Inchiostro Nero Su Carta Con Lavaggio Grigio E
Dichiarazione Dual Use In Inglese Tavolo Pietra Lavica
2
Timbri Per Ufficio Numeri Arabi Alfabeto Inglese Timbro Firma 16 Cifre Numerazione Macchina Timbri Timbri E Materiali Per Timbri Ufficio Amazon It Cancelleria E Prodotti Per Ufficio
Traduzione Diploma Di Maturita In Inglese Agenzia Di Traduzioni Forum Service
Traduzioni Legalizzate In Tutta Italia Tra Cui Milano Roma
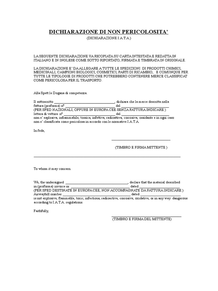
Dich Merce Non Pericolosa
Asta 0026 Libri Grafica By Gonnelli Casa D Aste Issuu
2
2
Traduzione Legalizzata Del Certificato Di Nascita My School
Cane Di Timbro Indirizzo Bobtail 02 Con Indirizzo Personale Etsy
2
Alessandro Rustico Sightseeing Sicily Italy
Documento
Verbale Di Preselezione Area Inglese Tedesca Arces
Certificazione Unica Con Traduzione In Inglese
Dublino Traduzioni Agenzia Di Traduzioni Gabicce Tra Rimini E Pesaro
Fillable Online Comune Mogliano Veneto Tv Modello Quietanza Italiano Inglese Comune Di Mogliano Veneto Comune Mogliano Veneto Tv Fax Email Print Pdffiller
Qui I Cartelli In Italiano E Inglese Confcommercio Ascom Cervia Facebook
Traduzioni Legalizzate In Tutta Italia Tra Cui Milano Roma
How To Be British
Http Webfacile Unidos It Montinicb Gov It Allegati Allegato 7172 Pdf
Il Traduttore Ufficiale In Italia E In Altri Paesi Eit
Http Www Ambteheran Esteri It Resource 16 02 F Documentazioneaffari Pdf
Clear Rubber Timbro Foglio Cling Inglese Script Scrapbook Diy Diary Album Card Ebay
2
Contratto Legale In Inglese Contratto Di Assistenza Legale Esempi Di Traduzione Di Documenti Per Un Visto Nel Regno Unito Esempio Di Documento Inglese Russo Su Una Pagina
Interprete Italiana A Melbourne Traduttrice Di Italiano Certificata In Australia
Traduzioni Legalizzate In Tutta Italia Tra Cui Milano Roma
Traduzioni Cmr Lettera Di Vettura Internazionale Italiano Inglese Tedesco
Http Images Al Camcom Gov It F Modulistica Accettazione 62 62 Cciaaal 8415 Pdf
Dizionario Italiano Inglese Inglese Italiano Ed Cambridge Signorelli 1985 Ebay
Http Www Szn It Images Bandi Concorsi Preinformazione Ufficio Stampa Indagine Di Mercato Pdf
Www Ordineavvocatiroma It Wp Content Uploads 17 07 Prosposta Convenzione Avvocati 18 1 Pdf
Traduzione Titoli Di Studio Laurea Diploma E Certificati Universitari Agenzia Di Traduzioni Forum Service
Storia Postale Germania Occupazione Inglese Con Censura E Timbro Arrivo 1946 Eur 4 50 Picclick It
Traduzioni Giurate Traduttore Rumeno
Contratto Legale In Inglese Contratto Di Assistenza Legale Esempi Di Traduzione Di Documenti Per Un Visto Nel Regno Unito Esempio Di Documento Inglese Russo Su Una Pagina
Messaggio Multilingue Dei Ringraziamenti Facendo Uso Delle Lingue Spagnole E Francesi Di Inglese Del Tedesco Fotografia Stock Immagine Di Ringraziamento Spagnolo
Inglese Commerciale Artigianato Lecchese
Traduttore Lu Traduttore Giurato Francese Italiano In Lussemburgo Home Facebook
2
2
1
Http Webfacile Unidos It Montinicb Gov It Allegati Allegato 7172 Pdf
L Apostilla Nulla Di Preoccupante Olexica
England Scartoffie Scartoffiose Per L Agenzia Inglese
Il Timbro Risset Unipr Studocu
Http Webfacile Unidos It Montinicb Gov It Allegati Allegato 7172 Pdf
Http Www Tnt It Download Dichiarazione Non Pericolosita Iata Pdf


